Synthesis and Characterization of 5-(p-nitro benzyl)-2,3-dihydro-1,3,4-oxadiazole-2-one: A Possible Prosthetic Group for Indirect Radiolabeling of Carbonyl-Containing Compounds
Article Main Content
5-(p-nitro benzyl)-2,3-dihydro-1,3,4-oxadiazole-2-one was prepared in a two-step process. A new β-Carboethoxy hydrazine was prepared first, and then, a new 1,3,4-oxadiazole-2-one, was prepared, both new compounds were identified by MP, IR, 1H NMR, and elemental analysis. The new 1,3,4-oxadiazole-2-one is a possible prosthetic group when iodinated, it could be approved as a method for indirect radiolabeling of carbonyl-containing compounds.
Introduction
Methods for indirect radioiodination of proteins, and steroids are finding increasing applicability in vivo bioanalytical procedures. Few reviews have discussed indirect labeling methods [1]–[3]. There is a large demand for a synthetic radioiodination group, with a non-metabolized tracer required for carbonyl derivatization, which may be prepared by large specific activity. Many in vivo distinctive radiated drugs, labeled proteins, and few tagged antigens require high specific activity radionuclide incorporation.
A reasonable synthetic group could be an acyl hydrazide directly iodinated at an aryl ring. The N-H groups of the hydrazide could be protected as a 1,3,4-oxadiazole. Oxadiazole motif is well known due to its importance in chemical medicine [4]. Oxadiazoles can be found in several Regio isomeric forms and are often occurring motifs in Drug similar molecules, often used as bio isosteres for amide groups. One of the most common Regio isomeric forms is the 1,3,4-isomer [5].
Oxadiazoles were utilized as an important part of the pharmacophore or as a fat, aromatic linker to place required substituents [6]. Oxadiazoles can be made from hydrazides and then can open back by acid hydrolysis. Direct iodination of an acid hydrazide is difficult to conduct, but the protected form of the acid hydrazide can be easily iodinated/radio-iodinated to the equivalent 1,3,4-oxadiazole, which can then be acid-hydrolyzed in situ with direct derivatization of carbonyl-containing moiety present in the same medium. We think that the synthesized 1,3,4-oxadiazole-2-one could follow the same method. So, an alternative system was utilized to obtain the required oxadiazole via an oxadiazole-2-one system. The expected two-step reaction is below:
• Step 1:
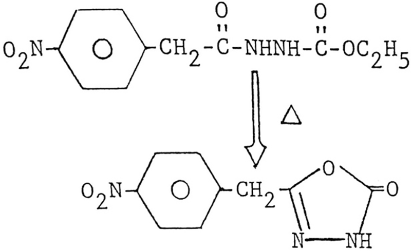
This new β-Carboethoxy hydrazine was prepared (Scheme I), and characterized by MP, IR, 1H NMR, and elemental analysis. To force ring closure, this β-Carboethoxy hydrazine was sublimed but only a more purified non-cyclized starting material formed. The next attempt was that the β-Carboethoxy hydrazine was refluxed with phenyl ether for two hours. This succeeded in generating a new oxadiazole-2-one (Scheme II), which was characterized by MP, IR, 1H NMR, and elemental analysis.
• Step 2:
Van Dort has shown that aryl hydrazides can condense with the ketone functionality of Adriamycin [7]. He also showed that the condensation could be conducted with a radio iodinated aryl hydrazide [8].
Experimental
Melting points were found on a Fisher-Johns melting point device. NMR spectra were taken in DMSO-d6 as a solvent on a JEOL FX90-Q spectrometer using tetramethyl silane (TMS) as an internal standard. Infrared spectra were determined in KBr tablet on a Perkin-Elmer model 283 infrared spectrophotometer.
Preparation of β-Carboethoxy-α-[p-nitrophenylacetyl] Hydrazine
p-Nitrophenyl acetic acid hydrazide 1.95 g (10 mmol) was dissolved in 25 ml of acetonitrile (CH3CN) containing 10% water and the solution was heated up to sixty °C. Ethyl chloroformate 1.08 g (10 mmol) was added in a single portion. The reaction mixture was refluxed for 24 hours, after which the acetonitrile was removed by evaporation in vacuo. The residue was then extracted into benzene and washed with water. Concentration of the benzene solution yielded a white product. Recrystallization from benzene gave a white product 2.15 g (80% yield), MP: 142°C–145°C; IR (KBr): 3250 cm−1 (Br, NH): 1720 cm−1 (C=O) carboethoxy; 1665 cm−1 (C=O) hydrazide; 1520 and 1350 cm−1 (NO2). 1H NMR (DMSO-d6): δ 10.02 (s, 1, NH); δ 9.08 (s, 1, NH); δ 8.20 (d, 2, Ar-H); δ 7.57 (d, 2, Ar-H); δ 4.03 (q, 2, −OCH2−); δ 3.63 (s, 2, −CH2−). δ 1.15 (s, 5, CH3).
• Calcd for C11H13N3O5: C, 49.44; H, 4.90; N, 15.73
• Found: C, 49.20; H, 4.67; N, 15.73
Preparation of 5-(p-nitro benzyl)-2,3-dihydro-1,3,4-oxadiazole-2-one
A solution of 1.34 g (5 mmol) of β-Carboethoxy-α-[p-nitrophenylacetyl] hydrazine in 25 ml of diphenyl ether was refluxed for 2 h. a white precipitate was formed immediately. Recrystallization from benzene gave 0.77 g (70% yield). MP: 162–165°C; IR (KBr): 3370 cm−1 (NH): 1780 cm−1 (C=O), 1640 cm−1 (C=N). 1H NMR (DMSO-d6): δ 12.25 (s, 1, NH); δ 8.25 (d, 2, Ar-H); δ 7.13 (d, 2, Ar-H). δ 4.15 (s, 2, −CH2−).
• Calcd for C9H7N3O5: C, 48.88; H, 3.19; N, 19.00
• Found: C, 49.13; H, 3.08; N, 18.89
Results and Discussion
The discovery of oxadiazoles leads to the development of a few important compounds with a wide range of biological activities. Oxadiazoles can be prepared by many procedures using carboxylic acid as a reactant [9]. An alternative system was created to obtain the desired oxadiazole via an oxadiazole-2-one system. The new β-Carboethoxy hydrazine was prepared as shown in Scheme 1 (Fig. 1). To force closure of the ring, this β-Carboethoxy hydrazine was sublimed but unfortunately only a more purified non-cyclized starting material formed.
Fig. 1. Scheme I.
The next attempt was that the β-Carboethoxy hydrazine was refluxed with phenyl ether for two hours. This succeeded in generating a new oxadiazole-2-one as shown in Scheme 2 (Fig. 2), which was characterized by MP, IR, 1H NMR, and elemental analysis.
Fig. 2. Scheme II.
This oxadiazole-2-one was refluxed with phosphorous oxychloride for 40 minutes, after the solution was cooled, then it was added into 100 ml of ice-water mixture. The solution was made strongly basic by the addition of concentrated ammonium hydroxide. The crude non-recrystallized product gave a positive Beilstein test which indicated the presence of chloride. Furthermore, NMR showed the disappearance of the typical N-H peak normally found at δ1.2 ppm.
I would like to thank Lehigh University, Bethlehem, PA, USA, for funding my PhD work in the chemistry department and to my late advisor: Prof. Ned D Heindel for his great support. Also, I would like to thank my wife Narmin Yervas for her great support in writing this manuscript.
Conflict of Interest
Conflict of Interest: The authors declare that they do not have any conflict of interest.
References
-
Bolton AE, Hunter WM. The labelling of proteins to high specific radioactivity by conjugation to a 125I-containing acylating agent. Biochem J. 1973 Jul;133(3):529–39. doi: 10.1042/bj1330529.
Google Scholar
1
-
Wood FT. Radioactive labeling of proteins with an iodinated amid nation reagents. J Dent Res. 1975 Oct;54 Spec no C:C86–92. doi: 10.1177/002203457505400310011.
Google Scholar
2
-
Seevers RH, Counsell RE. Radioiodination techniques for small organic molecules. Chem Rev. 1982;82(6):575–90. doi: 10.1021/cr00052a002.
Google Scholar
3
-
Musmade DS, Pattan SR, Yalgatti MS. Oxadiazole a nucleus with versatile biological behavior. IJPC. 2015;5(1):11–20.
Google Scholar
4
-
Boström J, Hogner A, Llinàs A, Wellner E, Plowright AT. Oxadiazoles in medicinal chemistry. J Med Chem. 2012;55:1817–30. doi: 10.1021/jm2013248.
Google Scholar
5
-
Poonam GB, Srivastava R, Singh R. Oxadiazoles: moiety to synthesis and utilize. J Iran Chem Soc. 2022;19:665–77. doi: 10.1007/s13738-021-02335-4.
Google Scholar
6
-
Van Dort M. The design of site-specific radiopharmaceuticals for tumor imaging. Ph.D. Thesis, 1983.
Google Scholar
7
-
Heindel ND, Van Dort M, Cahn M, Schneider R, Burns HD. The 1,3,4-oxadiazole moiety, a protective synthon for indirect radioiodination. J Heter Chem. 1985;22:209. doi: 10.1002/jhet.5570220149.
Google Scholar
8
-
Deepak Sitaram M, Pattan SR, Yalgatti MS. Oxadiazole a nucleus with versatile biological behavior. Int J of Phar Chem. 2015;5(1):11–20. doi: 10.7439/ijpc.v5i1.1417.
Google Scholar
9





